No cabe duda de que la música influye de manera determinante en nuestro estado de ánimo. Cada momento de nuestra vida puede ser recordado con una canción. Todos podríamos escribir una banda sonora de nuestra vida
Esto es un hecho irrefutable, tanto que Jacob Jolij, investigador de la Universidad de Groningen, en Holanda ha formulado la ecuación para encontrar aquellas canciones que nos generan felicidad y bienestar.
Jolij asegura que, mientras que para la mayoría de la gente las filias y fobias musicales son un tema subjetivo, a menudo condicionado por nuestras vivencias y emociones, es posible establecer una fórmula objetiva de la música que provoca un efecto de bienestar en el cerebro.
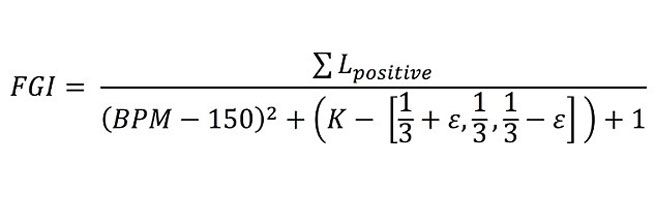
Para Jolij la clave reside en tres elementos: las letras, que son más positivas si tratan de temas como el verano o recuerdan momentos felices; un ritmo elevado, de al menos 150 beats por minutos, que aporta a nuestro subconsciente un plus de energía, y que se trate de canciones cuyo intervalo melódico sea en tercera mayor.
Con estos tres elementos Jolij a desarrollar esta ecuación:
En Cadenadial.com hemos hecho también nuestra labor de campo, quizá no es tan científica como la de Jolij, pero podemos asegurarte que los resultados son idénticos
¡Estas 10 canciones te harán sentir cómo nunca! ¡Dale al play y disfruta de la música que te gusta!
Lee también:
© Sociedad Española de Radiodifusión, S.L.U. 2026. Todos los derechos reservados
© Quedan reservados todos los derechos tanto sobre programas radiofónicos y las obras y prestaciones que formen parte de ellos, como sobre los contenidos publicados en esta página web. Sociedad Española de Radiodifusión SLU ejerce la oposición expresa frente al uso de sus obras y prestaciones en la elaboración de revistas de prensa prevista en el artículo 32.1 del TRLPI. Sociedad Española de Radiodifusión SLU realiza la reserva expresa frente la reproducción, distribución y comunicación pública de sus trabajos y artículos sobre temas de actualidad prevista en el artículo 33.1 del TRLPI, asimismo, también realiza una reserva expresa de las reproducciones y usos de las obras y otras prestaciones accesibles desde este sitio web a medios de lectura mecánica u otros medios que resulten adecuados a tal fin de conformidad con el artículo 67.3 del Real Decreto - ley 24/2021, de 2 de noviembre, así como frente a cualquier utilización de sus contenidos por tecnologías de inteligencia artificial, sea cual sea su naturaleza y finalidad.